PHC_Europe_logo

VIP ECO ULT Freezer

MDF-DU702VHW-PE VIP ECO ULT Freezer

Effective capacity
729L
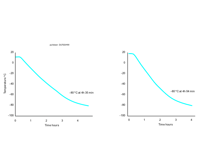
Cooling Performance
-86℃

Features

Cost-saving and environmentally friendly sample storage within an optimal footprint

The MDF-DU702VH VIP ECO ultra-low freezer with natural refrigerants minimises energy consumption, reduces environmental impact and saves money. Innovative technology and Class IIa medical device certification provide secure storage of valuable research and clinical samples.

Efficient Refrigeration & Environmentally Friendly

Natural hydrocarbon refrigerants provide more efficient cooling due to their high latent heat of evaporation. As well as improved performance this leads to reduced power consumption and energy costs. Ideal for laboratories looking to reduce their carbon footprint and environmental impact to comply with sustainability policies.

Inverter Technology & Uniform Sample Storage

The MDF-DU702VH VIP ECO ULT Freezer contains Inverter Compressors that maximise cooling performance under different conditions, and contribute to reducing the energy consumption of the freezer. While conventional freezers use single speed compressors which cycle on and off, the MDF-DU702VH VIP ECO ULT Freezer contains inverter compressors that can run at different speeds to maximise cooling performance under different conditions. Combined with hydrocarbon refrigerants, these compressors ensure the most efficient energy use and reduced heat output.

Inverter compressors provide optimum stability, while quality of design ensures reliability. Ideal for samples that are sensitive to temperature fluctuations.

Intelligent Interface & Easy Data Monitoring

The EZlatch makes access to stored samples even easier. A colour LCD touch panel allows full user control, even with gloved hands, while the USB port makes transferring logged data to a PC simple and convenient. Important information such as freezer temperature, door opening times and alarm history is logged for monitoring in GLP applications.

Efficient & Flexible Sample Storage

The combination of VIP PLUS vacuum insulation and an enhanced cabinet design with insulated outer door, ensures optimum temperature uniformity, while the reduced wall thickness maximizes storage capacity. Multiple shelf configurations allow a variety of storage options. Organize your samples by transferring your current inventory racks.

PHCbi’s Hybrid water cooled technology on VIP ultra low temperature and cryogenic freezers improves the compressor efficiency. The power consumption of a Hybrid ULT can be reduced by typically 10~12% compared to the equivalent air-cooled model.

Cryo Glove

Combining the Cryo glove 400 with our ULT freezer is an essential practice that prioritizes safety, sample integrity, precision, and adherence to industry standards. It's a small investment that yields significant benefits for both you and your research or laboratory work.


Request a Quote

Benefits

  • Our most energy efficient 700 litre -86°C freezer - 7.7 kWh
  • Less heat generation means saving on airconditioning
  • Reduce carbon footprint
  • VIP PLUS insulation
  • Flexible shelf layout
  • Intelligent Interface
  • Innovative Cabinet Design
  • Class IIa Medical Device

Features

  • Natural Refrigerants
  • EZlatch
  • LCD Touch screen
  • USB port
  • Inverter Compressors
  • 729 Litre
  • 576 2" Boxes

Performance

Product Photos

Specifications

Dimensions

Downloads